
This paper has been prepared describing the results and methodology used for determining the primary energy, carbon dioxide and greenhouse gas (GHG) emission factors for New Zealand electricity and fuels. The analysis uses the latest information provided by the Ministry of Economic Development (MED). The emission factors for fuel are virtually unchanged between years; however emissions from electricity generation do change depending upon the fuel mix. Electricity emission factors are reported for the years ending December 1991, 2005 to 2019.
The analysis is based on using life cycle analysis (LCA) methodology and consequently includes all upstream, as well as in-use, emissions.
With the publishing of the World Resources Institute Greenhouse Gas Protocol Corporate Value Chain (Scope 3) Accounting and Reporting Standard, we have decided to separate the emissions into these various scopes.
Total energy use is calculated using primary energy values. This is the sum of consumer energy, plus all the energy used, or lost, in the process of transforming energy into other forms and in bringing the energy to the final consumers. Consumer energy is defined as the amount of energy consumed by the final user, for example the kilowatt-hours recorded on the electricity meter or the actual energy value of fuel available to an engine.
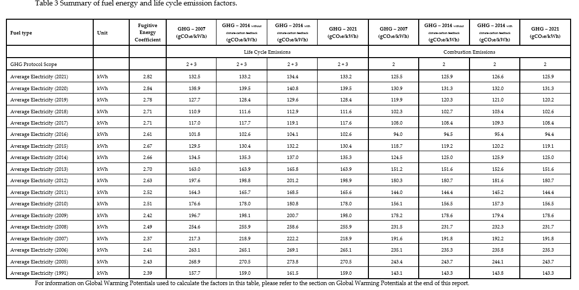
Carbon dioxide equivalent (CO2e) emissions are calculated based on the estimated global warming potential (GWP) of each GHG, expressed as the effect of one kilogram of CO2on global warming over a given time horizon. Non-CO2emissions are multiplied by the appropriate warming potential to convert to a CO2e basis. The GWPs for CH4and N2O are 21 and 310 respectively, for a 100-year time horizon. These are from the Intergovernmental Panel on Climate Change (IPCC) Second Assessment Report (IPCC, 1995). This is consistent with NZ’s GHG Inventory reporting requirements, but is different to PAS 2050:2008 that uses the GWP’s from the IPCC’s Fourth Assessment Report for CH4and N2O, which are 25 and 298 respectively (IPCC, 2007). Throughout this report non-CO2emissions are converted to CO2e using the IPCC Second Report (IPCC, 1995). However Tables 2 and 3 also includes the results based on using the IPCC’s Fourth Assessment Report. In addition, emissions are reported as grams per MJ, which is equivalent to kilotonnes per PJ.
Tables 1, 2 and 3 describe the primary energy and GHG emissions (CO2, CH4, N2O) of NZ electricity and fuels.
A full description of how these emission factors were determined can be found in the main report.



Agrilink provides consultancy services to individual clients and their industry organisations to optimise resource use efficiency through developing and implementing practical solutions. We apply this knowledge to our project management of large multi-stakeholder projects.
Agrilink has the most comprehensive resource use inventory of NZs primary production systems. We combine this with our life cycle thinking to focus on improving business profitability while partnering to create a better world.
Consumer energy:
The amount of energy consumed by the final user